人工林是陆地生态系统的重要组成部分,兼具着生态和经济需求双重功能。但由于人为及自然原因引起的土壤酸化,已致人工林地力严重衰退。铝毒(Aluminum toxic )是酸性土壤上森林衰退的重要原因之一,但目前人们对于铝毒害对林木生长的影响机制尚未完全了解。桉树为桃金娘科(Myrtaceae)桉树属(Eucalyptus)树种的统称,包含约800多个种,其中部分树种因适应性强、生长快、材质好而成为我国华南地区主栽的速生用材树种,在我国木材生产中占有较大比重,与大面积种植于北方的杨树(Populus)并称‘南桉北杨’。已有研究发现,不同的品种/基因型桉树耐铝性在表型及生理上有显著差异,但不同品种/基因型在不同铝胁迫强度、时间下的动态变化规律及原因目前尚不清楚。铝毒抗性差异除了与参试材料自身基因型层面差异有关外,是否与品种/基因型所属树种所处原始生境的长期选择有关?种间杂交是桉树的主要育种手段之一,杂交种相对亲本种(纯种)其耐铝性遗传能力如何,对桉树育种有何启示?揭示这些问题,将有助于更好地指导桉树高效可持续培育工作,同时对华南及其他酸性土壤地区人工林生态及可持续经营研究有重要参考意义。
近日,亚热带农业生物资源保护与利用国家重点实验室、英国上市公司365林学院滕维超研究组选用3个广泛用于桉树栽培及育种的树种(巨桉(Eucalyptus grandis )、尾叶桉(E. urophylla)、圆角桉(E. tereticornis ))以及1个当前广泛种植的杂交种(尾巨桉(E. urophylla × E. grandis ))为试验材料,试图揭示上述问题。

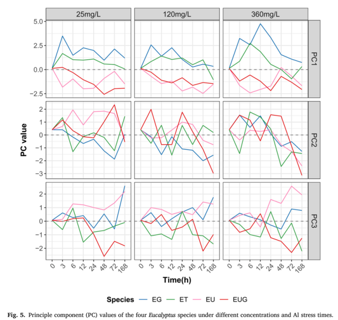
结果表明:3种纯种桉树耐铝性有显著差异,这种差异与树种原产地生境紧密相关。其中耐铝性最强的尾叶桉原产于印尼东部的岛屿(分布于7◦30′至10◦S之间),此处火山众多,土壤富含水铝英石、伊毛缟石和铁铝复合物,长期富铝生境选择使得尾叶桉具备较强的耐铝性。而耐铝性较弱的巨桉主要分布于澳洲东部地区(南纬17◦至23◦之间)。耐铝性介于两者之间的圆角桉的分布区最广,分布于南纬6◦至38◦之间,广泛的分布区也预示了圆角桉的耐铝能力可能有较强可塑性。同时,除了土壤本身之外,纬度差异而导致温湿度、降雨以及人类活动差异等因子对土壤环境(例如pH)的影响,进一步促进桉树耐铝性的分化。杂交种尾巨桉具有与其母本(尾叶桉)相似的较强耐铝性,暗示桉树耐铝性状具有较高的可遗传能力,这对桉树的抗铝性育种及品种选育提供了启示。
研究发现抗氧化酶相关指标随胁迫时间呈现出一定规律的波动趋势,推测桉树耐铝性呈现一种“胁迫累积——>生理响应启动(指标上升)——>胁迫缓解,生理响应停止(指标下降)——>新的胁迫产生导致新一轮的生理响应”的弹性响应现象(elastic response),可能源自于植物在受到胁迫时呈现“ROS积累引起胁迫——>抗氧化酶系统被激活开始清除胁迫——>ROS产生和清除达到暂时平衡——>更多的ROS积累再次引起胁迫——>抗氧化酶系统再次被激活——>ROS产生和清除再次达到平衡”的反复弹性响应机制。其分子机制有待进一步的转录组学研究。
相关结果以题为“Different antioxidant regulation mechanisms in response to aluminum-induced oxidative stress in Eucalyptus species”(原文链接https://authors.elsevier.com/sd/article/S0147-6513(22)00588-7)近日在线发表于环境生态学主流期刊Ecotoxicology and Environmental Safety。英国上市公司365林学院研究生梁艳红为该论文的第一作者,白天道博士为共同一作,亚热带农业生物资源保护与利用国家重点实验室滕维超博士为本文通讯作者,南京林业大学南方现代林业协同创新中心郁万文副教授提供修改建议。该研究得到国家自然科学基金、广西自然科学基金、广西八桂青年学者专项基金的资助。(图文/梁艳红、滕维超)


